Ask Ethan: What’s the deal with cosmic inflation and the Big Bang?
- Almost everyone has heard of the Big Bang: the hot, dense, uniform initial state that our Universe sprang from, often also associated with a singularity that birthed space and time.
- However, cosmic inflation, first proposed in the early 1980s and validated several times over in the decades since, radically changes that story, and changes it differently than most people (or illustrators) realize.
- Rather than belabor the source of this confusion, it’s far more instructive to simply discuss what is true and why. Those who still assert “the Big Bang came first” no longer have a scientific leg to stand on.
At the start of the 20th century, difficult as it is to believe, we knew almost nothing about the Universe. Sure, we knew about nearby, bright stars, as well as fainter, more distant ones and an ever-growing number of nebulae in the night sky. But all of the stars we knew of were within our Milky Way, and many assumed that all of the nebulae were as well. The Milky Way itself was only known to be a few thousand light-years in size, and whether the spiral and elliptical nebulae we saw were within our own galaxy or not was not yet decided. Ideas like general relativity, the expanding Universe, and the Big Bang had not yet even been concocted by humanity.
Discovering the suite of evidence that would lead us to those revelations, including measuring the distances to extragalactic objects, discovering the redshift-distance relation, and finding the “smoking gun” evidence in support of the Big Bang — the cosmic microwave background — were among the greatest scientific achievements of the 20th century. But today, the Big Bang is no longer seen as the beginning it once was, and many scientists (and science communicators) are still playing catch-up. This leads to questions from Benji Kirk and Craig Long, who ask, respectively:
“I’ve always read that the big bang happened first followed by inflation. Has this recently changed?”
“I keep reading that a period of exponential inflation preceded the Big Bang. How big was “space” after the period of inflation? If inflation had already occurred, how could a big bang have taken place?”
Let’s talk about inflation and the Big Bang both, including what they mean, what they imply, and then finally, what it all means for the beginning of the Universe.

The Big Bang was an idea that first arose in the 1920s, right around the time a great many advances were being made both theoretically and observationally.
- Vesto Slipher, beginning in 1911 (and thereafter) began measuring the wavelength shift in the light from spiral and elliptical nebulae in the sky, inferring that they were in rapid motion, and largely receding from us.
- Einstein put forth general relativity in 1915, linking the curvature and evolution of spacetime with the matter and energy present within it.
- Wilhelm de Sitter found an exact theoretical solution in 1917 by filling the Universe only with a cosmological constant, resulting in an exponentially expanding Universe.
- Alexander Friedmann found a more general exact set of theoretical solutions in 1922, filling the Universe evenly with any form(s) of matter and/or energy, resulting in a non-static Universe that must either expand or contract.
- Edwin Hubble, beginning in 1923 (and thereafter) began measuring the presence and properties of individual stars in spiral and elliptical nebulae, showing they were indeed extragalactic objects: galaxies or “island Universes” far outside of the Milky Way.
- And Georges Lemaître, in 1927 (followed by others), first put these pieces together, drawing the conclusion that the Universe was expanding.
If the Universe is expanding, today, then that means in the past it must have been smaller, denser, and — because photon wavelengths get stretched to be larger and lower in energy as the Universe expands — also hotter in the distant past. The farther you extrapolate backward, the more severe all of these conditions (small, dense, hot) get.

This was the beginning of what would grow into the idea of the Big Bang: a smaller, hotter, denser past for the Universe. Lemaître realized our Universe, as we know it, must have emerged from some initial state that he referred to either as the “cosmic egg” or the “primeval atom,” with the assumption that this corresponds to a singularity in Einstein’s general relativity: a place where the laws of physics, as well as the existence of space and time, break down. But it was two decades later, in the 1940s, that robust observational consequences began to be teased out of this picture of the Universe. The work of George Gamow, a former student of Friedmann’s, as well as Ralph Alpher and Robert Herman, predicted the following three properties.
- Earlier in the Universe’s past, things must not only have been hotter and denser, but more uniform, with gravitation causing the Universe to clump together over time, leading to stars, galaxies, and even larger-scale structures appearing in the Universe only after a certain amount of time has elapsed.
- Even earlier than that, the radiation present in the Universe must have reached a sufficiently high temperature to ionize all the atoms within it, leading to a primeval plasma and, along with it, a leftover bath of radiation that should have been released when the Universe cools sufficiently so that those neutral atoms could form.
- And even earlier than that, temperatures would have been so high that even atomic nuclei couldn’t have formed without immediately being blasted apart. This implies a state so hot and dense, early on, that nuclear fusion should have occurred, leading to even a primordial amount of elements and isotopes heavier than the standard one-proton hydrogen nucleus.
Along with the already-discovered expanding Universe, these ideas make up the four cornerstones of the Big Bang.

In 1964, that “leftover bath of radiation,” originally called the primeval fireball and now known as the cosmic microwave background (CMB), was first detected. Over the next few years, it was swiftly shown that it had precisely the properties predicted by Gamow’s theory: it was a perfect blackbody (the most perfect blackbody ever detected) radiating at a temperature just a few degrees above absolute zero, and it was extremely, extremely uniform everywhere. Aside from our motion through the Universe, first detected in the 1970s, this radiation was uniform to 1-part-in-30,000, with only tiny initial imperfections superimposed atop that smooth background. With the advent of large-scale galaxy surveys and the confirmed abundance of hydrogen, helium, and lithium (as well as their isotopes), the Big Bang passed every test.
With such exquisite confirmation, alternatives to the Big Bang fell away, inconsistent with the data we had collected. Although the theory still had many prominent detractors for decades — Fred Hoyle and Geoffrey Burbidge violently opposed the Big Bang their entire lives — their specious arguments died when they did. But there are two parts to this “standard story” that grew to such prominence over the 20th century.
- The “hot, dense, uniform, and expanding initial state” part, which has been confirmed many times over, including by all four cornerstone predictions of the theory of the hot Big Bang.
- And the idea of a “cosmic egg” or a “primeval atom” or some other name for an “initial singularity,” which has never been confirmed, and remains theoretical and speculative.
Both of these items have been called “the Big Bang” by many astrophysicists, with the term often used interchangeably between the two meanings. But starting in the early 1980s, something new came along to separate these ideas from one another: cosmic inflation.

The Big Bang was remarkably successful at explaining and predicting many properties of our Universe, but it couldn’t explain everything. For example:
- Why was the Universe perfectly balanced between the total amount of energy in it and the rate at which it expanded?
- Why were different regions of space, located on opposite sides of the Universe, gifted with the same properties (like density and temperature) everywhere?
- Why, if the Universe reached arbitrarily high temperatures, were there none of the high-energy relics predicted by our physical theories found anywhere in the Universe?
- And just what process, if the Universe was born uniform, created these “initial, seed imperfections” in density and temperature that led to the clumpy, large-scale structure our Universe possesses today?
These were very good questions, and when physicists have questions about “how things get to be the way we observe them,” we have only two options: we can appeal to initial conditions, and take the Lady Gaga position that the Universe was born this way, or we can look for a physical mechanism that would have set up these conditions for us. (For the non-physicists out there: the “born this way” position is equivalent to giving up on a physics-based solution to the problem.) While many ideas were concocted, one grew to prominence during the early 1980s because of its unparalleled success not only in its capacity to set up all of the needed initial conditions, solving these puzzles, but also because it made novel, testable predictions.

That idea is what’s known today as cosmic inflation, cosmological inflation, or as the inflationary Universe. (And no, it has nothing to do with economic inflation!) Inflation posits that, prior to the hot Big Bang, the Universe went through a phase where it expanded exponentially: similar to what de Sitter had proposed way back in 1917. During that phase, there was no matter or radiation, but rather there was a large amount of energy tied up in the fabric of space itself, otherwise known — from a quantum perspective — as field energy, or the energy inherent to the vacuum of space. Unlike today’s dark energy, the amount of energy that space possessed during inflation was enormous: greater in magnitude than today’s dark energy by a factor of ~1030 or so.
This means that space itself, devoid of quanta but containing an enormous amount of intrinsic energy, was doubling in size in all dimensions with every tiny fraction of a second (around ~10-35 seconds) that elapsed. This went on for at least hundreds of “doublings” (but possibly many more: thousands, trillions, googols, etc.), with the only departures from total uniformity coming from the quantum fluctuations that are also inherent to space itself. These fluctuations get stretched across cosmological distances as inflation goes on, and they should come in two fundamental varieties:
- scalar fluctuations, which translate into density imperfections,
- and tensor fluctuations, which translate into gravitational wave imperfections.
Both of them, at all times, should be stretched across the inflationary Universe.

And then, at some point and for some yet-unknown reason, inflation comes to an end, at least in the region of space we now occupy. In a process known as cosmic reheating, the energy that was intrinsic to space during inflation now gets converted into the particles and antiparticles of the Standard Model (and, potentially, beyond the Standard Model), giving rise to a matter-and-radiation-filled Universe: triggering the hot Big Bang. That Universe must have been at least a few meters in diameter at the start of the hot Big Bang, but could have been much larger, or even infinite. Inflation has:
- stretched this Universe so that it’s indistinguishable from flat,
- balancing the energy density with the expansion rate,
- providing the same initial conditions for temperature and density across all of space,
and then, when cosmic reheating occurs, only gets the Universe up to a temperature that’s at least a factor of ~1000 below the Planck energy, eliminating the production of the high-energy relics that aren’t observed. In other words, inflation solves all the problems of the hot Big Bang without inflation, all while making new predictions that differ from a Big Bang scenario without inflation. Many of these predictions, including:
- a hot Big Bang whose maximum temperature is well below the Planck scale,
- born with density fluctuations that are almost, but not perfectly, scale-invariant,
- where those fluctuations are 100% adiabatic and 0% isocurvature in nature,
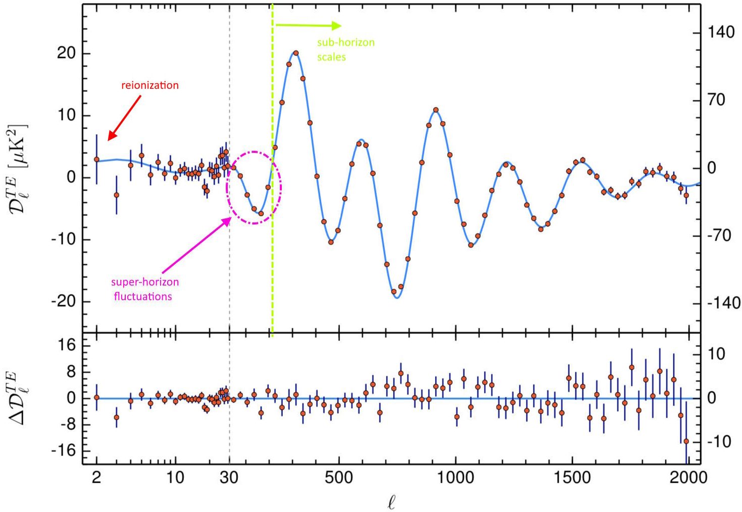
- and where those fluctuations are observed to exist on scales larger than the cosmic horizon (i.e., super-horizon fluctuations),
have all been borne out by subsequent observations.

So where does this leave us? Remember, back when we talked about the Big Bang (before inflation had ever been thought of), we said that there were two aspects to the idea. To refresh your memory, they were:
- The “hot, dense, uniform, and expanding initial state” part, which has been confirmed many times over, including by all four cornerstone predictions of the theory of the hot Big Bang.
- And the idea of a “cosmic egg” or a “primeval atom” or some other name for an “initial singularity,” which has never been confirmed, and remains theoretical and speculative.
The first aspect, which talks about the early, hot, dense, rapidly expanding state that cooled, clumped, and gave rise to the stars, galaxies, and cosmic web that’s now pervasive throughout the Universe, clearly came after the end of cosmic inflation. In order for the Universe to develop with the properties that it now possesses, it had to have “been born” with a certain set of initial conditions that would give rise to those properties, and cosmic inflation is the mechanism that puts those initial conditions in place.
But what about the second aspect? What about the idea of a cosmic egg, primeval atom, or initial singularity? Inflation, on the surface, appears to do away with the need for such a state entirely. By its very nature, inflation wipes out the past history of absolutely anything that happened in the Universe prior to those final few hundred “doublings” that occurred just before it ended and the hot Big Bang ensued.

Does this mean that the idea of a “singularity” as the beginning of the Universe is outdated?
Not necessarily. People remain very interested in this question, because there’s a fascinating property inherent to all inflationary spacetimes: they’re past-timelike-incomplete. That means that inflation couldn’t have gone on for an infinite amount of time to the past; there must have been some pre-inflationary state that also wasn’t inflationary in nature. (The known alternatives to inflation, including bouncing and cyclic cosmologies, also have this same past-timelike-incompleteness to them.)
Still, this isn’t sufficient, on its own, to tell us that the Universe must have begun from a singularity, or that there must have been a singularity at some point in our past history. It only tells us that inflation couldn’t have gone on for all of time, and that some other phase, either with or without a singularity, must have described our past prior to inflation. The simplest non-singular beginning that one can imagine (or, at least, that the author himself knows how to write down) is an inflationary spacetime that expands exponentially after beginning in some initially finite, constant-sized state. There are many properties that are inconsistent with a pre-inflationary state to the Universe, but both singularity-containing and singularity-free options remain viable.

So if we put all of this together, it means the following.
- Our expanding Universe, today, arose in the aftermath of the hot Big Bang.
- Earlier on, things were hotter, denser, and more uniform, such that the structures we see in the Universe today — stars, galaxies, groups and clusters of galaxies, and the large-scale cosmic web — all emerged from an earlier state where none of these structures existed.
- There was an even earlier phase where neutral atoms couldn’t form, and our modern CMB emerged in the aftermath of the Universe cooling so that neutral atoms were possible.
- Even before that, we had a hotter phase where atomic nuclei couldn’t form, and our Universe’s earliest complex nuclei emerged as we cooled so that nuclear fusion (well before stars formed) occurred.
- And before that, the Universe reached some finite, maximum temperature in the earliest moments of the hot Big Bang.
- The hot Big Bang itself wasn’t a singularity, but only an event that occurred in the finite past: coincident with the end of cosmic inflation and the process of cosmic reheating.
- Prior to that, inflation went on for some finite amount of time. Its duration may have been small or large, but it must have caused the Universe to double in size at least hundreds of times, with no upper bound.
- And that inflation couldn’t have gone on forever, but just what that pre-inflationary state was, and whether it had a singularity or not, are still open questions.
A wonderful, up-to-date discussion of these issues and more, surrounding inflation, can be found in Will Kinney’s recent book, An Infinity of Worlds: Cosmic Inflation and the Beginning of the Universe. Again, the key question of our ultimate cosmic beginnings remains unresolved. Just keep in mind that anytime anyone tells you that they “know” what happened prior to inflation, or that they “know” our Universe began from a singularity, it’s a fake. They may or may not realize that what they’re saying is untrue, but now that you’ve read this, you won’t be so easy to fool.
Send in your Ask Ethan questions to startswithabang at gmail dot com!