Is dark matter’s “nightmare scenario” true?

- Ever since the need for some source of gravitation, beyond the normal matter particles we know of, became apparent, dark matter has become the leading explanation for our observations.
- While the indirect, astrophysical evidence supporting its existence is overwhelming, all direct detection efforts have come up empty.
- This isn’t evidence against dark matter’s existence, but it may be evidence that the “nightmare scenario” of dark matter that only interacts gravitationally, might be true.
There’s an enormous puzzle to the Universe, and it’s one that might remain puzzling for a long time: dark matter. For generations, it has been recognized that the known law of gravity, Einstein’s General Relativity, combined with the matter and radiation that’s known to exist in the Universe — including all the particles and antiparticles described by the Standard Model of physics — doesn’t add up to describe what we see. Instead, on a variety of cosmic scales, from the insides of individual galaxies to groups and clusters of galaxies all the way up to the largest filamentary structures of all, an additional source of gravity is required.
It’s possible that we’ve got the law of gravity wrong, but if that’s the problem, it’s wrong in an extremely complicated way that also seems to require an additional source of matter (or something that behaves equivalently). Instead, the most common and successful hypothesis is that of dark matter: that there’s an additional form of matter out there, and we feel its gravity, but have yet to experimentally detect it. That hope, of direct experimental confirmation, is only possible if dark matter interacts with either itself or normal matter in a way that leaves a detectable signature. If dark matter’s only interactions are gravitational, we might never detect it. Unfortunately, that “nightmare scenario” might be exactly what’s really happening.

There are a number of puzzle pieces that, when you put them together, strongly favor the dark matter hypothesis. For one, we know the total amount of normal matter in the Universe extremely precisely, as the ratio of the light elements that existed before any stars had formed — including hydrogen, deuterium, helium-3, helium-4, and lithium — is extremely sensitive to the ratio of normal matter to the total number of photons.
We’ve measured the photons left over from the Big Bang: that’s the cosmic microwave background. We’ve also measured the abundances of those elements, and we’re certain that only 4.9% of the Universe’s total energy is in the form of normal matter.
Meanwhile, when we look at:
- the acoustic peaks in the cosmic microwave background’s imperfections,
- the way that galaxies cluster and correlate across space and time,
- the speed of individual galaxies within galaxy groups and clusters,
- the gravitational lensing effects of massive cosmic objects,
and much more, we find that an additional amount of mass that adds up to about five times the total amount of normal matter must be present to explain those effects.

Assuming that we haven’t fooled ourselves about the overwhelming astrophysical evidence for dark matter — and that there isn’t some modified gravity explanation for everything we’re seeing — it makes sense to not just look at the indirect evidence for dark matter, but to attempt to detect it directly. Because we know, because the evidence tells us so, that dark matter:
- must clump and cluster in a non-uniform fashion,
- must have been moving very slowly compared to the speed of light, even at early times,
- and must gravitate, affecting the curvature of spacetime based on its presence and abundance.
It must behave as either a massive particle or a massive fluid, gravitating either way.
It remains an assumption that dark matter is quantized and discrete: i.e., that dark matter behaves as a particle. It could be quantized and continuous instead, which would align with the fluid explanation, but whether fluid or particle, there are three possibilities for how dark matter behaves.
- Dark matter interacts with itself and/or normal matter through one or more of the known forces, in addition to gravity.
- Dark matter interacts with itself and/or normal matter through an additional, hitherto undiscovered force, in addition to gravity.
- Dark matter interacts with itself and normal matter only through the gravitational force and nothing else.
That’s it; those are all the possibilities.

One simple possibility is that dark matter was, at some point in the early Universe, more strongly coupled to normal matter (and possibly to itself as well) than it is today. There are plenty of examples like this in nature even within the plain old Standard Model. The electromagnetic coupling constant, for example, famously increases in coupling strength at higher energies; it’s just 1/137 under normal conditions but rises up to a value that’s more like 1/128 — about 10% greater — at high-energy colliders such as the Large Hadron Collider.
But an even more severe example is the neutrino, which interacts only through the weak force. The highest-energy neutrinos are more than 20 orders of magnitude more energetic than the lowest-energy ones, which are neutrinos left over from the hot Big Bang. But the cross-section of those neutrinos, which is directly related to your probability of having a neutrino interact with another quantum of energy, varies by nearly 30 orders of magnitude over that energy range.
If you were wondering how we could have created dark matter so abundantly in the early Universe, and why we’d have such a difficult time detecting it today, you need look no farther than the neutrino for an example. If we only created neutrinos in the Big Bang (and nowhere else), we’d have yet to directly detect them.

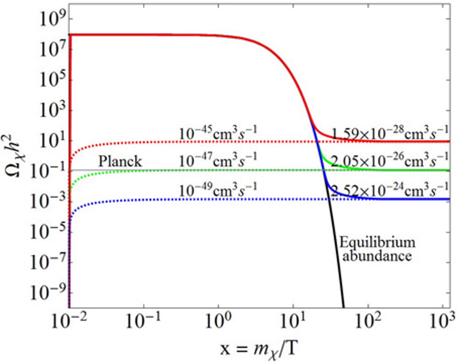
One scenario for how a dark matter particle could have been created is to presume that, at some point very early on in the aftermath of the hot Big Bang, the cross-section for making particle-antiparticle pairs of dark matter was large. (This applies even if dark matter is its own antiparticle, which is a feature of many dark matter scenarios.) As the Universe expands and cools, the cross-section drops, and eventually, dark matter stops annihilating away or interacting with anything else in any appreciable way.
When that happens, the relic dark matter abundance at the time — whatever it may be — gets “frozen in” to the Universe, and that amount of dark matter persists until the present day. So long as dark matter doesn’t decay away into something else (i.e., as long as dark matter is stable), it’s free to gravitate, clump, and cluster as the Universe expands. So long as dark matter either:
- isn’t too light, so that it wasn’t moving too fast early on,
- or was born with a negligible amount of kinetic energy, so that even if it’s low-mass, it was born cold,
it can solve all of the cosmic problems that it needs to.

Many decades ago, it was realized that if dark matter interacted through either the strong or electromagnetic forces, they would have already shown up in experiments. However, the weak interaction remained an intriguing possibility, and it was extra interesting for the following reason.
Based on astrophysics, we can calculate what the density of dark matter needs to be today: about five times as dense as the total amount of normal matter in the Universe. Many extensions of the Standard Model predict that some sort of new physics will arise close to the energy scale of the heaviest Standard Model particles like the W, Z, and Higgs bosons, as well as the heaviest of them all: the top quark.
You can compute, if you like, what the cross-section would be of such a weakly interacting particle — like the lightest supersymmetric particle, for example — if the mass were comparable to the electroweak scale. The cross-section, remember, determines both production and annihilation efficiencies at earlier times. And the cross-section you get, right around 3 × 10-26 cm3/s, is precisely what you’d predict if you demanded that such a particle interacted through the weak force.

This scenario became known as the “WIMP miracle” scenario, because it seems like a miraculous coincidence that putting in these parameters would lead to the expected weak interaction-based cross-section just popping out. For many years, a series of direct detection experiments were conducted, with the hope that the WIMP miracle scenario would turn out to be real. As of late 2022, there is no evidence that this is the case, and the cross-section limits from experiments such as XENON have ruled out the standard WIMP miracle scenario in practically every reasonable incarnation.
But a dark matter particle that interacts through the weak interaction (or, perhaps more completely, the electroweak interaction) isn’t the only game in town. In fact, the term WIMP — a stand-in for Weakly Interacting Massive Particle — might have “weak” in its name, but it doesn’t necessarily refer to the weak force. Instead, it only means that the interactions dark matter particles would exhibit must be relatively weaker than a certain threshold. While “the weak interaction” offers one possibility, a new, even weaker force is also possible, as is the true nightmare scenario: that dark matter only interacts gravitationally.

In the late 1990s, Rocky Kolb, Dan Chung, and Tony Riotto worked out a fascinating scenario: perhaps what we experience as dark matter wasn’t a thermal relic, as it would be in supersymmetric or other WIMP miracle-compatible scenarios. Instead, it’s possible that dark matter was initially created in an out-of-equilibrium condition right from the moment it first came into existence. Remarkably, if the mass of the massive particle is high enough, and only a few of them (but enough of them) are created, it can account for fully 100% of the needed dark matter.
As inflation comes to an end and leads to the hot Big Bang, it’s possible that this transition itself produces these massive, out-of-equilibrium particles. This can happen even if:
- the dark matter particle doesn’t interact with the inflaton or the inflationary field,
- it doesn’t couple to itself or any of the Standard Model particles,
- and its only interaction is through the gravitational force.
Just as gravitational waves and density/temperature imperfections are produced during inflation and imprinted on the post-Big Bang Universe, these ultra-massive particles, named WIMPzillas by the authors, show that even a particle that only interacts gravitationally could, in theory, make up all of the dark matter.

In many ways, this presents a real nightmare for physicists! We have gone about our entire careers under the assumption that we can learn everything we need to learn about the Universe simply by examining the Universe we live in, and now we’ve got an example of how things could have arisen identically to how we perceive them, with no means of detecting or creating them that don’t involve the ultimate catastrophe: restoring the early inflationary state of the Universe, perhaps “whooshing” our entire cosmos out of existence, in order to make more WIMPzilla particles.
If the cross-section between dark matter and normal matter is effectively zero, meaning that no matter how energetic the particles are or how many particles strike one another, they simply won’t scatter and exchange momentum and energy, there is no way that any of the direct detection experiments will work. Remember, they all have one thing in common: they’re all made out of normal matter, and they require some sort of recoil or other particle-particle interaction to create a detectable signal. If the dark matter-normal matter cross-section is zero, we’ll never be able to directly detect dark matter.

And yet, dark matter might still be the answer to the puzzle of why the Universe appears to gravitate in this bizarre fashion, unexplainable by normal matter and General Relativity on their own.
Although physicists will no doubt argue over the best approach, the one the field has taken continues to teach us more and more about the nature of reality and the contents of our Universe. We build and refine direct detection experiments that are generic, searching for any type of interaction that could possibly exist. We refine our techniques to become more and more sensitive to small signals, learning how to better account for the background of “normal” particles that cannot be 100% shielded. And we take a variety of approaches. Even if we never find dark matter, learning how our Universe truly behaves is never a bad investment.
But from a theoretical perspective, we absolutely cannot ignore the possibility of the nightmare scenario. We are compelled, from the indirect astrophysical evidence and the quality null results from direct detection efforts, to consider it seriously. If dark matter only interacts gravitationally, it’s up to us, as clever humans, to figure out how to unveil nature’s darkest secrets. We aren’t there yet, but identifying the problems and the possibilities, no matter how offensive we find them, is required for progress to occur.