One tremendous question puzzling astronomers is, “How did the Universe grow up?”

An image of a sphere with stars in it.
At the start of the hot Big Bang, the Universe was rapidly expanding and filled with high-energy, very densely packed, ultra-relativistic quanta. An early stage of radiation domination gave way to several later stages where radiation was sub-dominant, but never went away completely, while matter then clumped into gas clouds, stars, star clusters, galaxies, and even richer structures over time, all while the Universe continues expanding. The time after the relic radiation has faded away but before stars have ignited marks the cosmic dark ages.
Credit: CfA/M. Weiss

Today, most of our Universe’s stars are found within large spiral and elliptical galaxies.

Euclid perseus cluster
This view of the Perseus cluster of galaxies, from ESA’s Euclid mission, shows over 1000 galaxies all clustered together some 240 million light-years away, with many tens of thousands more identifiable in the background portion of the image. While optically, the image is dominated by the most massive, star-rich galaxies, they are vastly outnumbered by smaller, fainter, low-mass galaxies that are exceedingly difficult to detect, even nearby. Euclid’s capabilities are a critical tool for mapping out the dark Universe.
Credit: ESA/Euclid/Euclid Consortium/NASA, image processing by J.-C. Cuillandre (CEA Paris-Saclay), G. Anselmi, CC BY-SA 3.0 IGO

Spirals — containing gas, disks, and newly forming stars — exhibit a fascinating overall rotation.

spiral galaxy comparison dark matter
A galaxy that was governed by normal matter alone (left) would display much lower rotational speeds in the outskirts than toward the center, similar to how planets in the Solar System move. However, observations indicate that rotational speeds are largely independent of radius (right) from the galactic center, leading to the inference that a large amount of invisible, or dark, matter must be present. These types of observations were revolutionary in helping astronomers understand the necessity for dark matter in the Universe, and also explain the shapes and behavior of matter located within a galaxy’s spiral arms.
Credit: Ingo Berg/Wikimedia Commons; Acknowledgement: E. Siegel

Large stellar velocities near the galactic outskirts suggest an enormous dark matter halo surrounding it.

dark matter rotation curve modified gravity
The extended rotation curve of M33, the Triangulum galaxy. These rotation curves of spiral galaxies ushered in the modern astrophysics concept of dark matter to the general field. The dashed curve would correspond to a galaxy without dark matter, which represents less than 1% of galaxies. Vera Rubin’s work throughout the 1970s was essential in demonstrating that galaxies practically universally require an explanation for this unexpected but robustly observed behavior.
Credit: Mario de Leo/Wikimedia Commons

Meanwhile, dense galaxy clusters possess mostly ellipticals, with only a few spirals.

A vast starry sky showcases a spinning galaxy, a relic from 12 billion years ago, among countless stars of varying brightness on a dark background.
Most of the largest known galaxies in the Universe are found at the hearts of massive galaxy clusters, like the Hercules galaxy cluster shown here. Over time, galaxies within these clusters collide and merge, leading to bursts of new star-formation but making the galaxies more gas-poor, overall. After enough time has passed, most galaxies within such a cluster will become giant ellipticals, rather than disk-containing spirals.
Credit: ESO/INAF-VST/OmegaCAM. Acknowledgement: OmegaCen/Astro-WISE/Kapteyn Institute

Eventually, major mergers will “use up” and expel the galactic gas.

This view of galaxy NGC 1275, at the core of the Perseus cluster of galaxies, is one of the closest modern giant ellipticals known, located merely 230 million light-years away. Although the center of the galaxy is gas-poor, the circumgalactic medium surrounding it still possesses gas. Highlighted with Hubble imagery here, the red filaments are composed of cool gas being suspended by a magnetic field, with ~50,000,000+ K hot gas located internally.
Credit: NASA, ESA, and the Hubble Heritage (STScI/AURA)-ESA/Hubble Collaboration

However, many questions remain about how these galaxies form, evolve, and grow up.

regions of various density renaissance dark matter simulations
Regions born with a typical, or “normal” overdensity, will grow to have rich structures in them, while underdense “void” regions will have less structure. However, early, small-scale structure is dominated by the most highly peaked regions in density (labeled “rarepeak” here), which grow the largest the fastest, and are only visible in detail to the highest resolution simulations.
Credit: J. McCaffrey et al., Open Journal of Astrophysics (submitted), 2023

It’s the initially most massive overdense regions that lead to large, rotating spirals.

A bright orange nebula, one of the youngest in the Milky Way, showcases dark patches and a glowing center against a black background, as it gently rotates in the cosmos.
This animation shows the transition between ESO VISTA data (orange) and ALMA data (blue, white, and red), where the latter shows the velocity profile of what VISTA clearly shows is a disk galaxy. This makes REBELS-25, the galaxy imaged here, the earliest, youngest rotating disk galaxy ever discovered: just 700 million years after the Big Bang.
Credit: ALMA (ESO/NAOJ/NRAO)/L. Rowland et al./ESO/J. Dunlop et al. Ack.: CASU, CALET; Animation: E. Siegel

With JWST’s unprecedented power, we’ve just found the youngest super-Milky Way ever.

Close-up view of a spinning galaxy from 12 billion years ago with a quasistellar object nearby. The image features scale bars indicating distances of 30 kpc and 0.5 arcmin.
The blown-up galaxy shown here, serendipitously captured as JWST observed the field of the quasar shown at right, is the largest disk galaxy ever observed within the first 2 billion years of cosmic history. Located at a redshift of z=3.25, when the Universe was 1.95 billion years old, it spans 100,000 light-years across and contains more than six times the stellar mass of the modern Milky Way galaxy.
Credit: W. Wang et al., Nature Astronomy, 2025

Located at a redshift of z=3.25, the “Big Wheel” galaxy has a stellar mass of ~400 billion Suns.

milky way galaxies cosmic time
Galaxies comparable to the present-day Milky Way are numerous, but younger galaxies that are Milky Way-like are inherently smaller, bluer, and richer in gas in general than the galaxies we see today. Fewer galaxies have disks and spiral shapes as we look farther back in time, but a few that possess them are still found very early on. Over time, galaxies merge together and accrete matter: growing in their typical mass but decreasing in overall number.
Credit: NASA, ESA, P. van Dokkum (Yale U.), S. Patel (Leiden U.), and the 3-D-HST Team

This is more than six times the Milky Way’s stellar mass, but nearly 12 billion years ago.

Diagram showing spectral data with maps of disk model velocities from a spinning galaxy 12 billion years ago. Panels include images with highlighted slits, velocity graphs, and observed/model velocity comparisons.
Although local, irregular motions are found within various features inside the Big Wheel galaxy, overall it is observed to rotate at similar speeds to the stars in the Milky Way: orbiting the center at ~200 km/s. The bulk, overall rotation is consistent with the presence of large quantities of dark matter.
Credit: W. Wang et al., Nature Astronomy, 2025

It rotates just like modern spirals: indicative of dark matter.

A swirling blue nebula-like formation, reminiscent of the Milky Way's youngest features, rotates gracefully against a dark space background.
This supercomputer simulation shows the emergence of a rotating disk after hundreds of millions of years of cosmic evolution from gas and dust; the simulation also includes stars and dark matter, which are not shown here. If the dark matter were visible, it would make an enormous halo much larger, in radius, than the entire size of the image shown here.
Credit: R. Crain (LJMU) and J. Geach (U. Herts)

It follows the Tully-Fisher relation perfectly.

A four-panel graph displays relationships between half-light radius, stellar mass, star formation rate, and circular velocity for spinning galaxies at redshifts 3-4. Highlighting data from 12 billion years ago, the graph features various markers and trend lines.
Compared to other disk galaxies observed at such early times (top left), the Big Wheel galaxy is larger and more massive, by far, than other such galaxies. However, this galaxy, despite its size, remains consistent with known star-formation rates (lower left) and the relationship between rotational speed and stellar mass (lower right) previously established for galaxies of this class.
Credit: W. Wang et al., Nature Astronomy, 2025

The disk itself is huge for such early times: spanning ~100,000 light-years.

Three panels display captivating galaxy images from JWST and HST using different filters. Panels a and b, capturing a spinning galaxy 12 billion years old, are from JWST, while panel c is from HST. A blue dashed line in panel a highlights the galaxy.
Although most disk galaxies found this early have a half-light radius of only about 10,000 light-years, the Big Wheel’s half-light radius is more than triple that figure, with the overall galaxy spanning ~100,000 light-years across. Its features are prominently revealed by JWST, with only a small set of features visible at Hubble’s shorter-wavelength sensitivities.
Credit: W. Wang et al., Nature Astronomy, 2025

Measuring beyond these edges could test dark matter’s predictions.

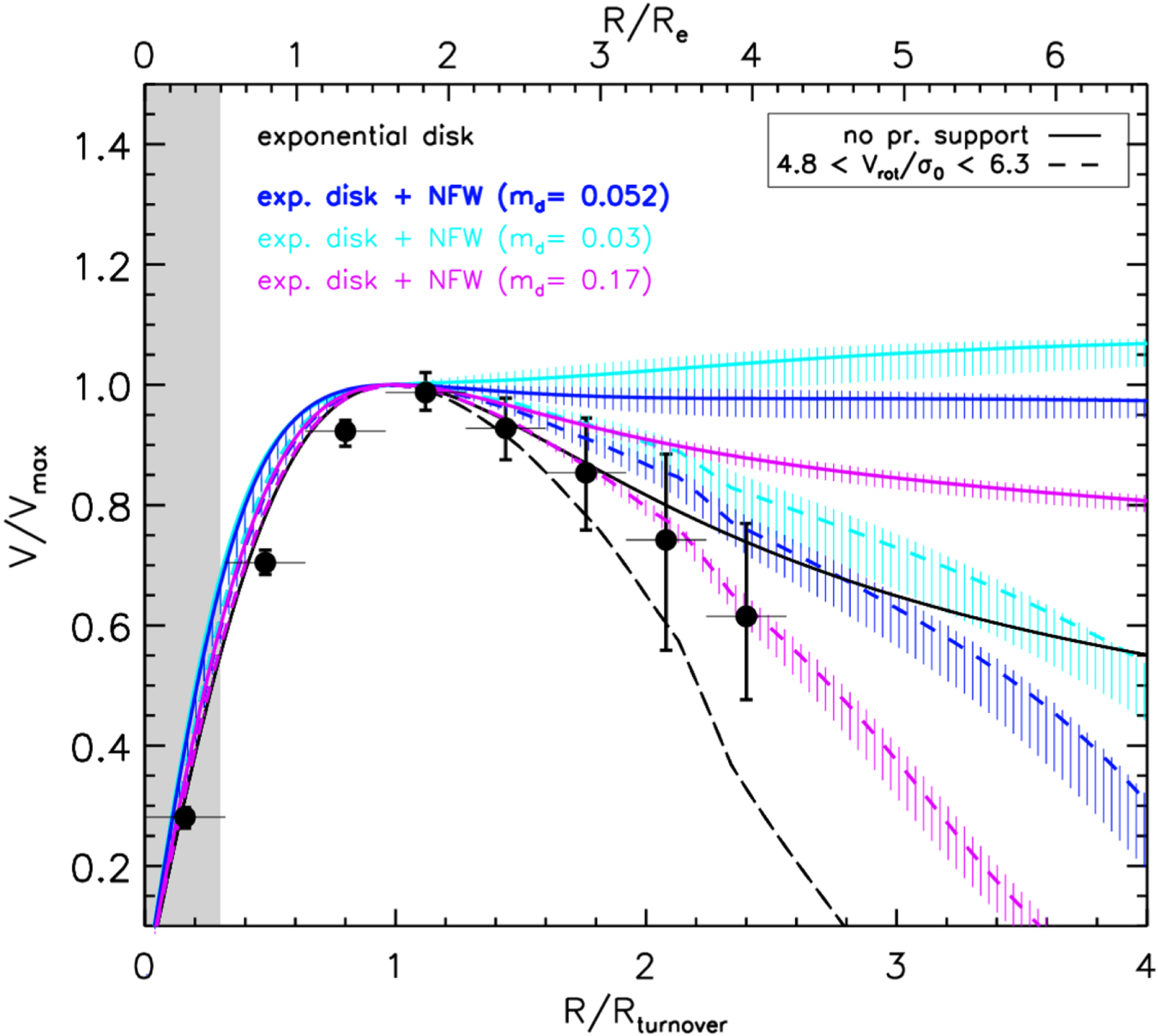
Graph illustrating curves of rotational velocity versus radius for various disk and halo models, featuring data points and error bars. This analysis includes exponential disk and NFW variants, providing insight into the dynamics of a spinning galaxy that formed 12 billion years ago.
The dark matter models of today (top curves) fail to match the exact rotation curves of older galaxies, as does (black curve) the no dark matter model. However, there are models that allow the dark matter distribution to evolve with time (magenta, blue, and cyan dotted lines), and they do match observations. The ability to conduct precision measurements of even more distant galaxies, such as the Big Wheel, could test models of dark matter’s evolution in massive galaxy/cluster environments.
Credit: P. Lang et al., Astrophysical Journal, 2017

By today, this gas-rich ancient predecessor will have evolved into a giant elliptical.

A sky full of stars with a large central galaxy, surrounded by smaller galaxies and bright spots on a dark background.
This view showcases galaxy IC 1101 inside the galaxy cluster Abell 2029: the single largest giant elliptical galaxy known in the modern Universe. Most of the other galaxies visible in the picture are comparable to (or larger than) the Milky Way, but they appear tiny next to this evolved, modern behemoth. After many major mergers, the centers of most modern galaxy clusters are richly littered with gas-free giant elliptical galaxies.
Credit: Pan-STARRS

Mostly Mute Monday tells an astronomical story in images, visuals, and no more than 200 words.