From its very first glimpse of the distant Universe, JWST has shocked astronomers.

jwst smacs 0723 hubble
This almost-perfectly-aligned image composite shows the first JWST deep field’s view of the core of cluster SMACS 0723 and contrasts it with the older Hubble view. The JWST image of galaxy cluster SMACS 0723 is the first full-color, multiwavelength science image taken by the JWST. It was, for a time, the deepest image ever taken of the ultra-distant Universe, with 87 ultra-distant galaxy candidates identified within it. They await spectroscopic follow-up and confirmation to determine how distant they truly are.
Credit: NASA, ESA, CSA, and STScI; NASA/ESA/Hubble (STScI); composite by E. Siegel

Its unprecedentedly deep views revealed a colossal surprise: bright galaxies.

JWST deep field vs hubble
This section of one of our deepest views of the Universe, acquired with JWST, overlaps with data from the Hubble eXtreme Deep Field. Compared to Hubble, JWST reveals an enormous number of objects previously invisible to Hubble, even with only ~4% of the observing time. Most of these galaxies are small and low-mass, but are forming stars rapidly right now, enabling JWST to reveal their presence.
Credit: NASA, ESA, CSA, STScI, Christina Williams (NSF’s NOIRLab), Sandro Tacchella (Cambridge), Michael Maseda (UW-Madison); Processing: Joseph DePasquale (STScI); Animation: E. Siegel

Even at these earliest times, galaxies were too big, bright, and numerous to explain.

JWST deep field vs hubble
This portion of the newest JWST image that covered part of Hubble’s ultra-deep field reveals a number of distant galaxies, highlighted manually, that are present in the brief JWST views but not in the long-exposure Hubble views. Some of these may indeed be cosmic record-breakers.
Credit: NASA, ESA, CSA, STScI, Christina Williams (NSF’s NOIRLab), Sandro Tacchella (Cambridge), Michael Maseda (UW-Madison); Processing: Joseph DePasquale (STScI); Animation: E. Siegel

Our best cosmic predictions, based on ΛCDM cosmology, didn’t expect what JWST saw.

flight through universe CEERS JWST NASA
Taking us beyond the limits of any prior observatory, including all of the ground-based telescopes on Earth as well as Hubble, NASA’s JWST has shown us the most distant galaxies in the Universe ever discovered. If we assign 3D positions to the galaxies that have been sufficiently observed-and-measured, we can construct a visualized fly-through of the Universe, as the CEERS data from JWST enables us to do here. At greater distances, compact, star-forming galaxies are more common; at closer distances, more diffuse, quiescent galaxies are the norm.
Credits: Frank Summers (STScI), Greg Bacon (STScI), Joseph DePasquale (STScI), Leah Hustak (STScI), Joseph Olmsted (STScI), Alyssa Pagan (STScI); Science by: Steve Finkelstein (UT Austin), Rebecca Larson (RIT), Micaela Bagley (UT Austin)

Normally, galactic brightness traces stellar mass: the mass of the galaxy due to stars.

Southern Pinwheel M83
The Southern Pinwheel Galaxy, Messier 83, displays many features common to our Milky Way, including a multi-armed spiral structure and a central bar, as well as spurs and minor arms, plus a central bulge of stars. The pink regions showcase transitions in hydrogen atoms driven by ultraviolet light: produced by new stars. The Southern Pinwheel galaxy is one of the closest and brightest barred spiral galaxies at a distance of just 15 million light-years, and has a similar diameter (118,000 light-years) to our own Milky Way.
Credit: CTIO/NOIRLab/DOE/NSF/AURA; Acknowledgment: M. Soraisam (University of Illinois); Image processing: Travis Rector (University of Alaska Anchorage), Mahdi Zamani & Davide de Martin

One potential culprit, the “first stars,” brighter and bluer than modern stars, have yet to be spotted.

jwst first stars
An artist’s conception of what a region within the Universe might look like as it forms stars for the first time. As stars shine, accumulate matter, and contract, radiation will be emitted, both electromagnetic and gravitational. Inside the star, gas pressure fights against gravitation, holding the various interior layers up against gravitational collapse. Surrounding the star-forming region is darkness, as neutral atoms effectively absorb that emitted starlight, while the emitted ultraviolet starlight works to ionize that matter from the inside out.
Credit: Pablo Carlos Budassi/Wikimedia Commons

One partial explanation comes from JWST’s optical overperformance.

Hubble spherical aberration jwst
This simulation of spherical aberration shows how a point source is seen by a perfectly spherical aperture if the object is overfocused (left), underfocused (right), or perfectly focused (center), along with being properly corrected for wavelength (middle row) versus being either slightly overcorrected (top row) or undercorrected (bottom row). The extreme lower-right image shows the original spherical aberration in Hubble’s original WFPC camera. Hubble’s primary mirror had problems with spherical aberration; JWST’s mirrors do not.
Credit: Mdf at English Wikipedia; NASA, ESA and the COSTAR Team

Due to its unprecedented cleanliness, JWST’s pristine optics return brighter, sharper views than anticipated.

James Webb Space Telescope
Shown during an inspection in the clean room in Greenbelt, Maryland in late 2021, NASA’s James Webb Space Telescope was photographed at the moment of completion. Only weeks later, it would successfully launch and deploy, leading to an unprecedented set of advances in astronomy. From mirrors to instruments, it was kept cleaner, from start to finish, than any observatory ever.
Credit: NASA/Desiree Stover

A second contribution arises from simulation resolution.

cold fuzzy dark matter simulations
This image shows a series of structure-formation simulations: at low resolution, medium resolution, and superior/high resolution, for both cold dark matter and fuzzy dark matter models. If we can measure the Universe precisely and accurately enough, we can distinguish between these types of models, contingent on matching dark matter density to a realistic galaxy distribution, and whether we simulate the cosmic web to great enough precision.
Credit: M. Sipp et al., MNRAS (submitted), 2023

We can increase to high-resolution and focus on initial, rare overdensities.

regions of various density renaissance dark matter simulations
Regions born with a typical, or “normal” overdensity, will grow to have rich structures in them, while underdense “void” regions will have less structure. However, early, small-scale structure is dominated by the most highly peaked regions in density (labeled “rarepeak” here), which grow the largest the fastest, and are only visible in detail to the highest resolution simulations.
Credit: J. McCaffrey et al., Open Journal of Astrophysics (submitted), 2023

These factors, combined, explain some, but not all, of JWST’s observed galaxies.

likelihood of early galaxies vs age for jwst
The three simulated regions highlighted earlier, using the Renaissance suite, lead to predictions for how massive galaxies should be in those three regions (orange, blue, and green lines). The 5 earliest galaxies revealed so far with JWST, with error bars shown, have about a probability of “1” of occurring within the observed regions. If they were truly rare, they’d be brighter and more massive, as shown by the ~10^-3 and ~10^-6 likelihood curves. Note that even at the start of the scale on the x-axis, at ~150 million years, clumps of stellar matter with ~100,000 solar masses already exist.
Credit: J. McCaffrey et al., Open Journal of Astrophysics (submitted), 2023

There are still too many bright galaxies seen too early on.

JWST deep field vs hubble
This region of space, viewed first iconically by Hubble and later by JWST, shows an animation that switches between the two. Both images still have fundamental limitations, as they were acquired from within our inner Solar System, where the presence of zodiacal light influences the noise floor of our instruments, and cannot easily be removed. The extra presence of point-like red objects in JWST images, also known as “little red dots,” has finally been explained, but other puzzles still remain.
Credit: NASA, ESA, CSA, STScI, Christina Williams (NSF’s NOIRLab), Sandro Tacchella (Cambridge), Michael Maseda (UW-Madison); Processing: Joseph DePasquale (STScI); Animation: E. Siegel

But one factor may finally solve the puzzle: bright starbursts.

dwarf starburst galaxy henize 2-10
When major mergers of similarly-sized galaxies occur in the Universe, they form new stars out of the hydrogen and helium gas present within them. This can result in severely increased rates of star-formation, similar to what we observe inside the nearby galaxy Henize 2-10, located 30 million light years away. This galaxy will likely evolve, post-merger, into another disk galaxy if copious amounts of gas remains within it, or into an elliptical if all or nearly all of the gas is expelled by the current starburst. Starburst events like this were much more common earlier in cosmic history than they are today.
Credit: NASA, ESA, Zachary Schutte (XGI), Amy Reines (XGI); Processing: Alyssa Pagan (STScI)

Starbursts are brief star-forming episodes, dramatically enhancing a galaxy’s brightness.

Tarantula Nebula JWST stars
The image shows the central region of the Tarantula Nebula in the Large Magellanic Cloud. The young and dense star cluster R136 can be seen near the center of the image. The tidal forces exerted on the Large Magellanic Cloud by the Milky Way are triggering a wave of star-formation in there, which happens to be the largest star-forming region known in the Local Group. R136a1, at the cluster’s center, is the most massive single star known, with approximately 260 times the mass of our Sun.
Credit: NASA, ESA, CSA, STScI, Webb ERO Production Team

Alongside normal stars, giants, supergiants, and supernovae temporarily inflate a galaxy’s luminosity.

starburst galaxies luminosity early jwst redshift
When burstiness is accounted for, rather than entirely “smoothed out” over long time intervals, brightness enhancements in a variety of galaxies can be seen at all redshifts where JWST has identified anomalously large number densities of bright galaxies. These three panels show those enhancements, relative to other simulations and photometric JWST data, at z = 8, 10, and 12, corresponding to times of 650, 480, and 380 million years after the hot Big Bang.
Credit: G. Sun et al., ApJ Letters, 2023

Especially common in low-mass galaxies, “burstiness” can explain what JWST sees.

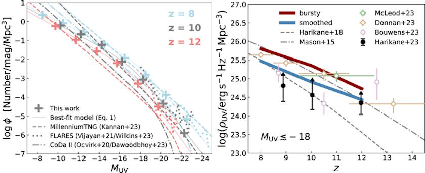
starburst galaxies luminosity early jwst
Both the number density of galaxies as a function of redshift (left) and the rest-frame ultraviolet luminosity of galaxies (right) can be explained by a “bursty” scenario, where a young galaxy’s brightness is temporarily enhanced by the giant stars, supergiant stars, and stellar cataclysms that accompany a starburst galaxy.
Credit: G. Sun et al., ApJ Letters, 2023

At last, simulations can now reproduce JWST’s observed abundance of bright, early galaxies.

JADES deepest galaxies JWST
The viewing area of the JADES survey, along with the four most distant galaxies verified within this field-of-view. The three galaxies at z = 13.20, 12.63, and 11.58 are all more distant than the previous record-holder, GN-z11, which had been identified by Hubble and has now been spectroscopically confirmed by JWST to be at a redshift of z = 10.6. No doubt these records will themselves be broken, possibly with galaxy candidates that already exist within the same field-of-view.
Credit: NASA, ESA, CSA, M. Zamani (ESA/Webb), Leah Hustak (STScI); Science credits: Brant Robertson (UC Santa Cruz), S. Tacchella (Cambridge), E. Curtis-Lake (UOH), S. Carniani (Scuola Normale Superiore), JADES Collaboration

Mostly Mute Monday tells an astronomical story in images, visuals, and no more than 200 words.