Black holes represent the most extreme objects within our Universe.

black hole central singularity
Once you cross the threshold to form a black hole, everything inside the event horizon crunches down to a singularity that is, at most, one-dimensional. No 3D structures can survive intact. That’s the conventional wisdom, and has been treated as proven for over 50 years. But despite the predictions of Hawking radiation, no black holes have ever been observed to decay.
Credit: vchalup / Adobe Stock

They’re created whenever too much mass collects inside a given volume.

kerr black hole spacetime
In the vicinity of a black hole, space flows like either a moving walkway or a waterfall, depending on how you want to visualize it. At the event horizon, even if you ran (or swam) at the speed of light, there would be no overcoming the flow of spacetime, which drags you into the singularity at the center. Outside the event horizon, though, other forces (like electromagnetism) can frequently overcome the pull of gravity, causing even infalling matter to escape. Rotating black holes possess ring-like, not point-like, singularities.
Credit: Andrew Hamilton/JILA/University of Colorado

An event horizon forms, and collapse down to a singularity is inevitable.

penrose black hole event horizon nobel
One of the most important contributions of Roger Penrose to black hole physics is the demonstration of how a realistic object in our Universe, such as a star (or any collection of matter), can form an event horizon and how all the matter bound to it will inevitably encounter the central singularity. Once an event horizon forms, the development of a central singularity is not only inevitable, it’s extremely rapid.
Credit: J. Jarnstead/Royal Swedish Academy of Sciences; annotations by E. Siegel

Black holes can form via:

  • massive stellar cores collapsing during supernova events,
very massive star supernova
The anatomy of a very massive star throughout its life, culminating in a type II (core-collapse) supernova when the core runs out of nuclear fuel. The final stage of fusion is typically silicon-burning, producing iron and iron-like elements in the core for only a brief while before a supernova ensues. The most massive stars achieve a core-collapse supernova the fastest, typically resulting in the creation of black holes, while the less massive ones take longer, and create only neutron stars.
Credit: Nicolle Rager Fuller/NSF
  • the spontaneous, direct, and complete collapse of a massive star,
direct collapse directly observed
The visible/near-IR photos from Hubble show a massive star, at least 25 times the mass of the Sun, that has winked out of existence, with no supernova or other explanation. Direct collapse is the only reasonable candidate explanation, and is one known way, in addition to supernovae or neutron star mergers, to form a black hole for the first time. The direct collapse of this particular object, while still under investigation, may have been triggered by a stellar companion.
Credit: NASA/ESA/C. Kochanek (OSU)
  • direct collapse from converging cold streams of gas,
supermassive black hole
This snippet from a supercomputer simulation shows just over 1 million years of cosmic evolution between two converging cold streams of gas. In this short interval, just a little over 100 million years after the Big Bang, clumps of matter grow to possess individual stars containing tens of thousands of solar masses each in the densest regions, and could lead to direct collapse black holes of an estimated ~40,000 solar masses. This could provide the needed seeds for the Universe’s earliest, most massive black holes, as well as the earliest seeds for the formation of stars and the growth of galactic structures.
Credit: M.A. Latif et al., Nature, 2022
neutron star merger
In the final moments of merging, two neutron stars don’t merely emit gravitational waves, but a catastrophic explosion that echoes across the electromagnetic spectrum. Whether it forms a stable neutron star or a black hole (like the 2019 merger), or a neutron star that then turns into a black hole (like the 2017 merger), will depend on factors like the total mass of the predecessor neutron stars and their combined spin. Copious quantities of heavy elements are produced in these events.
Credit: University of Warwick/Mark Garlick

These scenarios all imply an absolute minimum mass for black holes of ~3 solar masses.

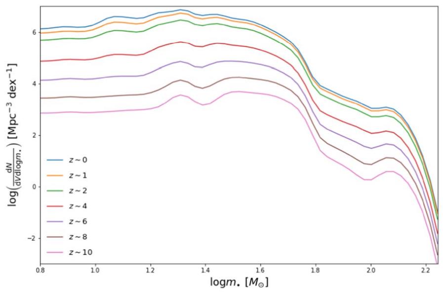
black hole estimated mass function
This graph shows the estimated mass function of black holes at various cosmic epochs (different colors) as a function of the mass of these black holes (x-axis). The numbers obtained by integrating over all of cosmic time and the entire observable Universe lead to an estimated 40 quintillion black holes in our Universe.
Credit: A. Sicilia et al., ApJ, 2022

All black holes spontaneously emit energetic radiation: Hawking radiation.

hawking radiation black hole decay
The event horizon of a black hole is a spherical or spheroidal region from which nothing, not even light, can escape. But outside the event horizon, the black hole is predicted to emit radiation. Hawking’s 1974 work was the first to demonstrate this, but that work has also led to paradoxes (i.e., the black hole information paradox) that have yet to be resolved.
Credit: NASA/Dana Berry, Skyworks Digital Inc.

Its temperature, flux, and intensity are determined by the spatial curvature outside the event horizon.

black hole
When you put down even a single point mass in spacetime, you curve the fabric of spacetime everywhere as a result. The Einstein field equations allow you to relate spacetime curvature to matter and energy, in principle, for any distribution you choose. In the case of an infinitely dense point mass, a black hole results, with an event horizon forming at a distance dependent on the total mass of the black hole. The lowest-mass black holes have the smallest event horizons, but the greatest amount of spatial curvature at those horizons.
Credit: JohnsonMartin/Pixabay

The lowest-mass black holes possess the greatest event horizon curvatures.

black hole hawking
Even in the complete absence of external matter, black holes aren’t completely dark, as a very small amount of low-energy radiation gets emitted due to quantum processes: Hawking radiation. Whether or not this radiation preserves and encodes all of the information that went into creating and growing the black hole has not yet been determined. This is the heart of the black hole information paradox.
Credit: University of Texas at San Antonio

The energy for Hawking radiation arises from the central object’s mass, via E = mc².

still flawed Hawking radiation diagram
It must be noted that it isn’t particles or antiparticles that are produced when black holes undergo Hawking radiation, but rather photons. One can calculate this using the tools of virtual particle-antiparticle pairs in curved space in the presence of an event horizon, but those virtual pairs should not be construed as being real particles, nor should all of the radiation be construed as arising from just barely outside the event horizon.
Credit: E. Siegel

Black holes evaporate over time, with lower-mass black holes decaying faster.

black hole information encoded
Encoded on the surface of the black hole can be bits (or quantum bits, i.e., qubits) of information, proportional to the event horizon’s surface area. When the black hole decays, it decays to a state of thermal radiation. As matter and radiation fall into the black hole, the surface area grows, enabling that information to be successfully encoded. When the black hole decays, entropy will not decrease, but rather will remain constant, as Hawking radiation is an entropy-conserving (adiabatic) process. How or if that information is encoded into the outgoing radiation is not yet determined.
Credit: T.B. Bakker/Dr. J.P. van der Schaar, Universiteit van Amsterdam

Even ~3 solar mass black holes require ~1068-1069 years to fully decay.

black hole
Black holes formed of different materials should have different information encoded on their event horizons, and it is not understood if or how that information is then encoded in the outgoing Hawking radiation. Recent work has suggested that even horizonless objects may emit Hawking radiation as well, but that result is still debated.
Credit: The EU’s Communicate Science

Our 13.8 billion (~1010) year old Universe doesn’t allow enough time for that.

black hole evaporation
When a black hole either forms with a very low mass, or evaporates sufficiently so that only a small amount of mass remains, quantum effects arising from the curved spacetime near the event horizon will cause the black hole to rapidly decay via Hawking radiation. The lower the mass of the black hole, the more rapid the decay is, until the evaporation completes in one last “burst” of energetic radiation. The longest-lived black holes will be the most massive, with decay timescales exceeding 10^100 years.
Credit: ortega-pictures/Pixabay

Furthermore, real Hawking radiation is too faint, cold, and low in flux to directly detect.

black hole evaporation
It’s generally assumed that at some level, gravity will be quantum, just like the other forces. While the semi-classical approximation for computing the decay of black holes involves performing quantum calculations in the classical background of Einstein’s curved space, that approach might not be valid for capturing the full suite of physical behavior that the outgoing radiation possesses, particularly as far as information is concerned.
Credit: Aurore Simmonet

Only speculative “primordial black holes” could’ve decayed faster; no evidence exists for them.

Primordial Black Holes
If the Universe was born with primordial black holes, a completely non-standard scenario, and if those black holes served as the seeds of the supermassive black holes that permeate our Universe, there will be signatures that current and future observatories, like JWST and LISA, will be sensitive to. Measuring the growth rate of black holes over time is one key test; looking for fully evaporating black holes (for which there is no evidence) is a second.
Credit: European Space Agency

Mostly Mute Monday tells an astronomical story in images, visuals, and no more than 200 words.